कक्षा 10 गणित बहुपद नोट्स को यहा publish कर दिया गया है। यहा इस आर्टिकल के माध्यम से हम आपके साथ बहुपद (Polynomials) के नोट्स के pdf शेयर करेंगे। बहुपद नामक अध्याय को कक्षा 10 मे गणित की पुस्तक से पढ़ाया जाता है। Class 10 Maths Polynomials notes in hindi मे हम बहुपद के बारे मे पढ़ेंगे। इस कक्षा 10 गणित नोट्स की मदद से आप बहुपद के बारे मे सबसे जरूरी बातें जान जाएंगे जो की आपके अध्ययन, revision, एवं परीक्षा की तैयारी मे अत्यंत उपयोगी साबित करेगा।
कक्षा 10 गणित बहुपद नोट्स
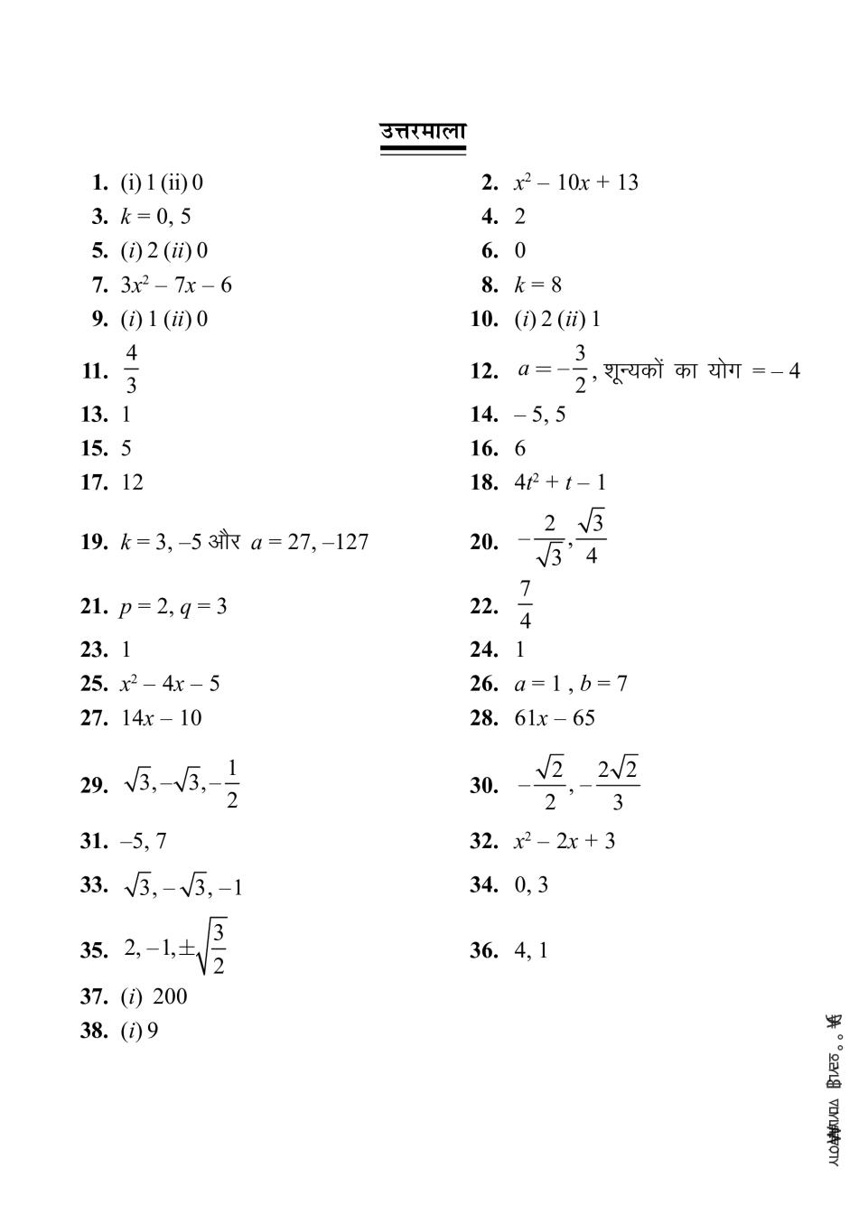
कक्षा 10 नोट्स गणित विषय के बहुपद (Polynomials) पाठ के लिए यह है।
कक्षा 10 गणित के नोट्स - बहुपद View Download







कक्षा 10 गणित बहुपद नोट्स PDF
“बहुपद” इस पाठ के टिप्पणी को डाउनलोड करने के लिए यह रहा लिंक।
कक्षा 10 गणित बहुपद नोट्स pdf download – डाउनलोड करने के लिए यह क्लिक करे
कक्षा 10 गणित नोट्स
गणित के इस topic बहुपद के अलावा भी अन्य chapters के नोट्स है। इन्हीं विषयों पर संबंधित नोट्स उपलब्ध हैं जो कक्षा 10 के गणित पाठ्यक्रम के अंतर्गत हैं। उन्हें समझने में और अध्ययन करने में मदद मिल सकती है। ऐसे सभी अध्यायों के नोट्स पीडीएफ रूप में उपलब्ध हैं, जिन्हें आप बिना किसी समस्या के डाउनलोड कर सकते हैं। Class 10 Maths notes in hindi pdf यह रहे:
- वृतों से सम्बंधित क्षेत्रफल
- समान्तर श्रेढ़ी
- वृत्त
- निर्देशांक ज्यामिति
- रचनाएँ
- त्रिकोणमिति का परिचय
- दो चरों वाले रखिक समीकरणों का युग्म
- बहुपद
- प्रायिकता
- द्विघात समीकरण
- वास्तविक संख्याएँ
- त्रिकोणमिति का अनुप्रयोग
- सांख्यिकी
- पृष्ठीय क्षेत्रफल एवं आयतन
- त्रिभुज
कक्षा 10 नोट्स
हमने गणित के अलावा अन्य विषयों की टिप्पणियाँ भी पीडीएफ़ बना के शेयर करी है।
नोट्स
अन्य कक्षाओं के नोट्स पाने के लिए इन्हे देखे:
अध्ययन सामग्री
बहुपद के नोट्स के अलावा आप पुस्तक एवं समाधान भी प्राप्त कर सकते है।
कक्षा 10 गणित बहुपद नोट्स का overview
इस अध्ययन सामग्री की जरूरी बातें जान ले।
| पहलू | जानकारी |
|---|---|
| कक्षा | कक्षा 10वीं |
| विषय | गणित |
| अध्याय | बहुपद |
| अध्ययन सामग्री | कक्षा 10वीं के नोट्स गणित विषय के बहुपद अध्याय के लिए |
| इस विषय के और नोट्स एवं टिप्पणियाँ | कक्षा 10वीं गणित के नोट्स |
| इस कक्षा के और नोट्स एवं टिप्पणियाँ | कक्षा 10वीं के नोट्स |
| 10वीं कक्षा की पुस्तकें | Class 10 NCERT Books |
| 10वीं कक्षा के NCERT Solutions | NCERT Solutions for Class 10 |
अक्सर पूछे जाने वाले प्रश्न (FAQs)
प्रश्न 1: क्या ये कक्षा 10 गणित नोट्स नवीनतम सत्र की परीक्षा के लिए नवीनतम सिलेबस पर आधारित हैं?
- उत्तर: जी हाँ, बहुपद के ये नोट्स नवीनतम NCERT और बोर्ड सिलेबस के अनुसार तैयार किए गए हैं ताकि छात्रों को सबसे सटीक जानकारी मिले।
प्रश्न 2: क्या मैं बहुपद के नोट्स PDF फॉर्मेट में डाउनलोड कर सकता हूँ?
- उत्तर: बिल्कुल! आप इस पेज पर दिए गए डाउनलोड लिंक पर क्लिक करके गणित के इस अध्याय के नोट्स का PDF मुफ्त में डाउनलोड कर सकते हैं और ऑफलाइन पढ़ाई कर सकते हैं।
प्रश्न 3: क्या इन नोट्स में महत्वपूर्ण प्रश्न और उत्तर भी शामिल हैं?
- उत्तर: हाँ, हमने बहुपद के उन सभी महत्वपूर्ण बिंदुओं, परिभाषाओं और प्रश्नों को शामिल किया है जो अक्सर बोर्ड परीक्षाओं में पूछे जाते हैं। यह क्विक रिवीजन (Quick Revision) के लिए बेहतरीन हैं।
प्रश्न 4: क्या ये नोट्स हिंदी मीडियम के छात्रों के लिए पर्याप्त हैं?
- उत्तर: ये नोट्स विशेष रूप से हिंदी माध्यम के छात्रों के लिए सरल भाषा में लिखे गए हैं। इसमें गणित के कठिन शब्दों को बहुत आसानी से समझाया गया है ताकि आपको याद करने में आसानी हो।
प्रश्न 5: कक्षा 10 के अन्य विषयों के नोट्स मुझे कहाँ मिलेंगे?
- उत्तर: आप हमारी वेबसाइट के मुख्य पेज कक्षा 10 नोट्स पर जाकर अन्य सभी विषयों के चैप्टर-वाइज नोट्स प्राप्त कर सकते हैं।
यदि आप कक्षा 10 गणित बहुपद नोट्स के बारे मे कुछ पूछना चाहते है, तो कृपया नीचे कमेंट्स बॉक्स मे लिख कर बताए।